14 年
手机商铺
公司新闻/正文
311 人阅读发布时间:2023-04-12 17:41
报告基因是一类使表达产物易于被检测的基因,其作用原理是将报告基因的编码序列及其表达调控序列与目的基因融合形成嵌合基因,在调控序列的作用下进行表达,通过对报告基因表达产物的检测来评价目的基因的表达状况。
常见的报告基因包括萤光素酶(Luciferase)、氯霉素乙酰转移酶(CAT)、β-半乳糖苷酶(β-gal)、分泌性人胎盘碱性磷酸酶(SEAP)和绿色荧光蛋白(GFP)等。
萤光素酶(Luciferase)是一类在生物体内能够催化荧光素或脂肪醛氧化发光的酶,从自然界能够发光的生物体内分离获得。由于特异性强、灵敏度高、内源性低、检测不受细胞内其他物质的影响等优点,萤光素酶被作为报告基因(标记蛋白)而被广泛应用。
双萤光素酶报告基因检测系统在单萤光素酶报告基因的基础上引入了“内参对照”报告基因,这样可以减小细胞数目、细胞生长状态和转染效率等外在因素对于实验的影响,使得实验结果更为可信。
本期小爱给大伙带来一款爱必信爆款双萤光素酶报告基因检测试剂盒:双萤光素酶报告基因检测试剂盒(abs60341)。
表1 双萤光素酶报告基因检测试剂盒(abs60341)
| 组分 |
名称 |
100T |
1000T |
| A |
5× Passive Luciferase Lysis Buffer |
10ml |
100ml |
| B |
Firefly Luciferase Assay Buffer |
10ml |
100ml |
| C |
D-Luciferin |
2mg |
20mg |
| D |
Renilla Luciferase Assay Buffer |
10ml |
100ml |
| E |
50×Coelenterazine |
200ul |
2×1ml |
一、产品特点

二、产品介绍
本试剂盒先以萤光素(Luciferin)为底物来检测萤火虫萤光素酶的活性,然后加入抑制萤火虫萤光素酶催化的物质,同时加入腔肠素(Coelenterazine)检测海肾萤光素酶的活性,实现双萤光素酶报告基因检测。适用于瞬时转染实验、需要共报告基因建立内参或实现多重信号、需要报告基因减弱的情况如研究负调控对刺激产生的细胞反应、实现较高检测精度等情况。

图1 双萤光素酶报告基因检测试剂盒实验流程
三、应用
双萤光素酶报告基因检测试剂盒是一款应用广泛的科研工具,举例跟大家详细介绍下常见的萤光素酶报告基因的应用。
应用1:順式作用原件研究

鸡骨形态生成蛋白15(bone morphogenetic protein 15, BMP15)基因不同启动子截短体报告载体的双萤光报告结果显示,BMP15基因启动子-153-1 bp 为核心区域。
应用2:细胞信号通路研究

图3 检测不同浓度的HLY78系列衍生物对Wnt信号通路报告基因TOPflash的萤光素酶活性影响
通过检测不同浓度的HLY78系列衍生物对Wnt信号通路报告基因TOPflash的萤光素酶活性影响,筛选出HLY78和HLY119对Wnt信号通路有抑制作用。
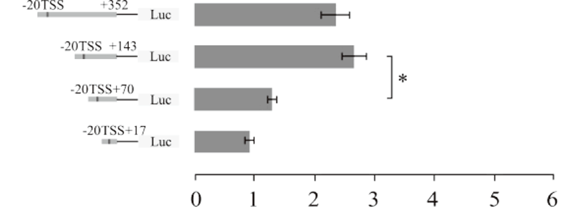
应用3:反式作用因子研究

图4 在-562- -200位点是Runx1 发挥对Mrgprd 基因的转录激活的关键位点

图5 Runx1 通过+70 ~ +143位点序列促进Mrgprd基因转录
Runx1(转录因子)对Mrgprd基因的转录调控机制可能有多种,并非只是通过结合在Mrgprd基因上游的结合位点来直接调控其转录。
应用4:miRNA靶点研究

图6 miRNA靶点研究案例
miR-1269b过表达可明显降低293T细胞中METTL3-WT的萤光素酶活性,但对METTL3-MUT的活性没有显著影响,表明miR-1269b可靶向METTL3 3’UTR,负调控GC细胞中METTL3的表达。
注:应用数据均来自文献
四、实验数据

图7 Abisn双萤光素酶报告基因检测试剂盒与市面上同类产品对比结果
使用爱必信双萤光素酶报告基因检测试剂盒(abs60341)与市面上的同类产品进行对比实验,发现萤火虫萤光素酶与海肾萤光素酶比值与国外知名品牌同类产品最为接近。

最后,跟大家透漏个好消息:双萤光素酶报告基因检测试剂盒(abs60341)本月特价!本月特价!本月特价!

本期搭档产品小爱推荐:
✔ 高效转染 ✔ 低毒性 ✔ 操作简单
| 货号 |
产品名称 |
规格 |
| Lipofect5000 质粒转染试剂 |
0.5ml/1.0ml |
|
| SP悬浮细胞质粒DNA转染试剂 |
0.5ml/1.0ml/1.5ml |
|
| 质粒DNA转染试剂盒(贴壁细胞) |
0.5ml/1.0ml/1.5ml |
|
| PM原代细胞质粒DNA转染试剂盒 |
0.5ml/1.0ml/1.5ml |
|
| RF 293细胞DNA转染试剂盒 |
0.5ml/1.5ml |
|
| 溶液A(转染增强剂,仅用于质粒DNA转染) |
0.25ml/0.5ml/1ml |
参考文献
[1] 赵海卫, 韩佩君, 吕欣, 等. 萤光素酶报告基因在病毒学研究中的应用[J]. 生物技术通讯, 2015, 26(1): 131-134.
[2] Nature chemical biology vol. 9,9 (2013): 579-85. doi:10.1038/nchembio.1309.
[3] 高广亮, 李辉, 王启贵. 鸡肝脏基础型脂肪酸结合蛋白基因启动子活性分析[C]// 中国畜牧兽医学会家禽学分会代表会议暨全国家禽学术讨论会. 2013.
[4] Kang, Jian , et al. "MicroRNA-1269b inhibits gastric cancer development through regulating methyltransferase-like 3 (METTL3)." Bioengineered 12.1(2021):1150-1160.
[5] 刘子敬, 曹诚. 转录因子Runx1对Mrgprd基因转录调控的分子机制研究[J]. 华南国防医学杂志, 2020, 34(9):5.
Absin特色产品线:
WB相关:ECL发光液、预染marker、预制胶;IHC相关:二抗试剂盒、组化笔;IP/CoIP试剂盒;激动剂/抑制剂;血清、BSA、蛋白酶K、CTB、TTX、CEE;凋亡试剂盒;呼吸爆发试剂盒;ELISA试剂盒;重组蛋白;抗体: 二抗、标签抗体、对照抗体;定制服务(抗体/多肽/蛋白/标记/检测)...| 爱必信(上海)生物科技有限公司 联系邮箱:info@absin.cn 微信公众号:爱必信生物 |