14 年
手机商铺
公司新闻/正文
534 人阅读发布时间:2022-12-13 10:03
新冠病毒感染从2019年底首次爆发至今仍在全球肆虐,对世界经济和人类身体健康带来极大危害。全球新冠疫情爆发以来,我国科研工作者立即着手开展抗新冠病毒药物的研发工作。据英国剑桥大学Teresa Brevini等[1]的最近报道,他们得出一种比较乐观的结论:熊去氧胆酸(Ursodeoxycholic Acid,UDCA)可能成为我们对抗新冠的重要武器。

什么是熊去氧胆酸呢?
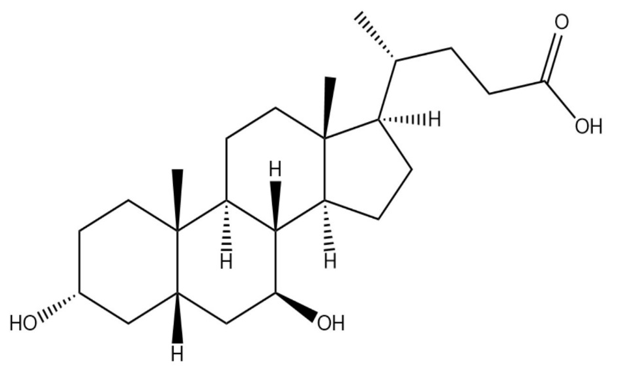
熊去氧胆酸(Ursodeoxycholic Acid,UDCA)属于有机化合物,分子式为 C24H40O4,化学名称为3a,7β- 二羟基-5β- 胆甾烷-24-酸,无臭,味苦。用于治疗胆结石、胆汁淤积性肝病、脂肪肝、各型肝炎、中毒性肝障碍、胆囊炎、胆道炎和胆汁性消化不良、胆汁返流性胃炎、眼部疾病等。

那么熊去氧胆酸是如何做到消灭新冠病毒的呢?
先前的研究表明,人体细胞上的血管紧张素转化酶2(ACE2)是新冠病毒的主要进入受体,而Teresa Brevini等[1]的研究论文" FXR inhibition may protect from SARS-CoV-2 infection by reducing ACE2 "表明,治疗肝病的药物熊去氧胆酸可以关闭ACE2受体。因此,熊去氧胆酸是通过关闭病毒进入细胞的大门,直接将新冠病毒拒之门外达到预防病毒感染的效果。由于这种药物针对的是宿主细胞而不是病毒,因此它或许可以预防新冠病毒及其新变种。

该药物在医学上已经广泛使用,安全性和耐受性好。而关于熊去氧胆酸在预防新冠肺炎的研究上目前还处于摸索阶段,相关文献很少,需要广大学者进一步深入研究和验证。
参考文献:
[1] Teresa Brevini, Mailis Maes, Gwilym J. Webb, et al. FXR inhibition may protect from SARS-CoV-2 infection by reducing ACE2 [J]. Nature, 2022. https://doi.org/10.1038/s41586-022-05594-0
| 货号 |
产品名称 |
规格 |
| Ursodeoxycholic acid |
100mg/200mg/500mg |
|
| 熊去氧胆酸 |
20mg |
|
| 熊去氧胆酸 |
5g/25g |
Absin特色产品线:
WB相关:ECL发光液、预染marker、预制胶;IHC相关:二抗试剂盒、组化笔;IP/CoIP试剂盒;激动剂/抑制剂;血清、BSA、蛋白酶K、CTB、TTX、CEE;凋亡试剂盒;呼吸爆发试剂盒;ELISA试剂盒;重组蛋白;抗体: 二抗、标签抗体、对照抗体;定制服务(抗体/多肽/蛋白/标记/检测)...
| 爱必信(上海)生物科技有限公司 联系邮箱:info@absin.cn 公众平台:爱必信生物 |