文献分享——氧化氘(D2O)稳定同位素探索蓝藻代谢
601 人阅读发布时间:2021-07-15 16:04
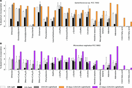
| 蓝藻是一种原核的叶绿素自养生物,能够在多种环境中生存。是全球范围内不同环境中重要的有机物质的主要生产者。虽然人们对CO2固定的机理已经很了解,但对于固定有机碳在单个细胞和复杂微生物群落中的流动分布却知之甚少。本文章研究表明表明D2O探测是分析蓝藻代谢的一种强大的方法,包括发现新的代谢过程。 作者使用氧化氘稳定同位素探测和LC-MS测量了蓝藻细菌中与其他细胞内代谢物相比较的氘掺入相容溶质中的情况。选择模型单细胞广泛盐蓝细菌Synechococcus sp. PCC 7002和陆生丝状蓝细菌Microcoleus阴道PCC 9802比较这些生理上和系统发育上不同的蓝藻细菌的代谢活性。  图片来自网络 结果表明氘很容易并入代谢物。氘并入非不稳定位置(如碳氢键)的部分计算如Methods部分(图2)所述。不稳定氢原子,如羧基,不考虑部分掺入,因为在代谢物提取和LC流动相中使用了不含氘的质子溶剂,这会导致掺入的氘交换到不稳定位置的质子(1H)。  图片来自网络 氘的掺入导致代谢物的相对同位素丰度谱发生变化。氘的掺入分数是由含有不同数量氘的代谢物(C)的同位素理论相对丰度的线性组合计算出来的。N是代谢物中不稳定氢的数量。  聚球菌胞内代谢物中氘掺入量的比较。PCC 7002 (A)和Microcoleus vaginatus PCC 9802 (B)。10%的细胞被探测D2O 12 h,在黑暗中12 h,和12 h在随后12 h在黑暗中。还显示了对照培养10天或23天在12小时/12小时光/暗循环下的测量结果。 细胞在标准的12小时光/暗周期下生长。然后在生长培养中加入10%的D2O,用液相色谱-质谱(LC-MS)分析其代谢产物。糖原分析采用淀粉酶处理的甲醇不溶细胞组分,释放的葡萄糖采用LC-MS分析。通过拟合同位素分布确定了氘在代谢物非交换位置的掺入,并与相容溶质、糖原和常见代谢物进行比较。结果与蓝藻在白天固定和储存碳作为支链碳水化合物糖原的结果一致,而在夜晚作为蓝藻细胞主要且通常碳源,在细胞进入黑暗后2-8小时内迅速降解。观察到糖在12小时内几乎成为最大的标记,而在夜间观察到最小的标记。糖与水作为质子进行光合作用,快速地在生长介质中的D2O浓度中形成。当D2O在夜间加入12小时后,观察到的糖的额外标记很少,这表明它们是由之前光照期间积累的未标记糖原和可能的其他生物聚合物制成的。 Absin 提供氘代试剂及标准品,助您更好免“氢”干扰!:
| Absin特色产品线(全部现货): WB相关:ECL发光液、预染marker、预制胶;IHC相关:二抗试剂盒、组化笔;IP/CoIP试剂盒;激动剂/抑制剂;血清、BSA、蛋白酶K、CTB、TTX、CEE;凋亡试剂盒;呼吸爆发试剂盒;ELISA试剂盒;重组蛋白;抗体: 二抗、标签抗体、对照抗体;定制服务(抗体/多肽/蛋白/标记/检测)...  爱必信(上海)生物科技有限公司 联系邮箱:info@absin.cn 公众平台:爱必信生物 |
|